Официальное опубликование правовых актов
ОФИЦИАЛЬНОЕ ОПУБЛИКОВАНИЕ
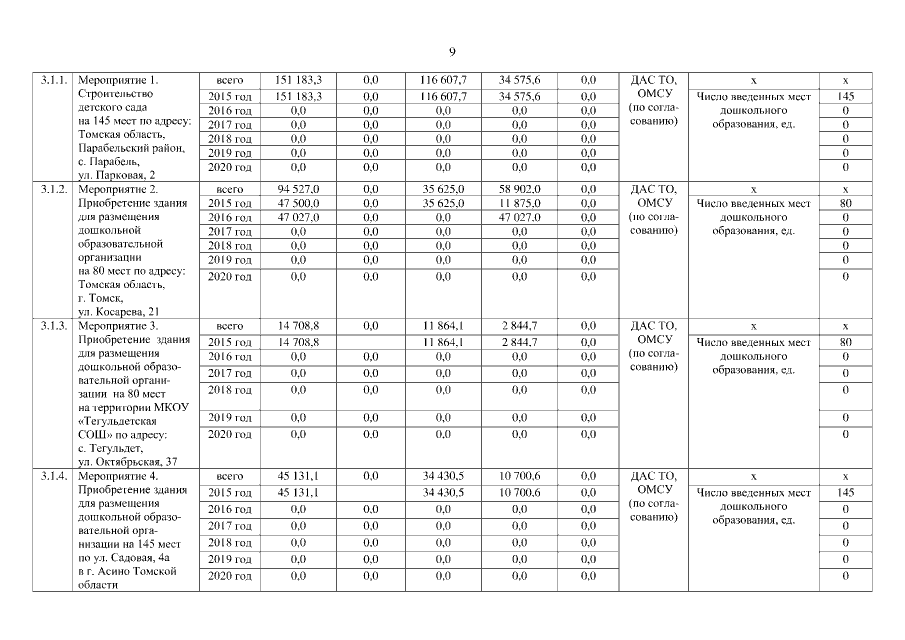
Постановление Администрации Томской области от 13.02.2017 № 44а
"О внесении изменений в постановление Администрации Томской области от 30.10.2014 № 413а"
Номер опубликования: 7000201702160003
Дата опубликования: 16.02.2017
Страница №69 из 114:
Увеличить