Официальное опубликование правовых актов
ОФИЦИАЛЬНОЕ ОПУБЛИКОВАНИЕ
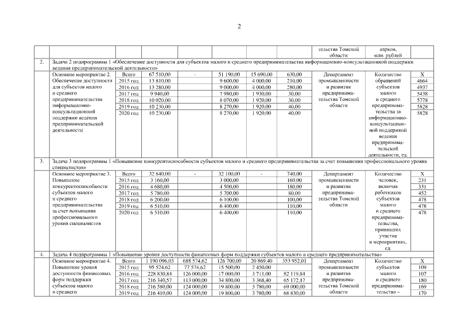
Постановление Администрации Томской области от 26.01.2017 № 21а
"О внесении изменений в постановление Администрации Томской области от 12.12.2014 № 492а"
Номер опубликования: 7000201701300002
Дата опубликования: 30.01.2017
Страница №85 из 92:
Увеличить