Официальное опубликование правовых актов
ОФИЦИАЛЬНОЕ ОПУБЛИКОВАНИЕ
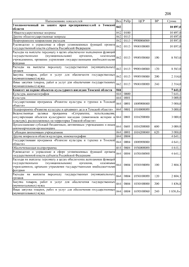
Закон Томской области от 29.12.2016 № 173-ОЗ
"О внесении изменений в Закон Томской области "Об областном бюджете на 2016 год и на плановый период 2017 и 2018 годов"
Номер опубликования: 7000201612300020
Дата опубликования: 30.12.2016
Страница №208 из 266:
Увеличить