Официальное опубликование правовых актов
ОФИЦИАЛЬНОЕ ОПУБЛИКОВАНИЕ
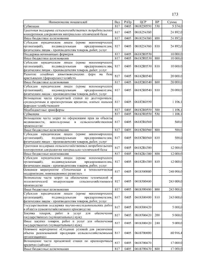
Закон Томской области от 06.09.2016 № 92-ОЗ
"О внесении изменений в Закон Томской области "Об областном бюджете на 2016 год и на плановый период 2017 и 2018 годов"
Номер опубликования: 7000201609130006
Дата опубликования: 13.09.2016
Страница №173 из 260:
Увеличить