Официальное опубликование правовых актов
ОФИЦИАЛЬНОЕ ОПУБЛИКОВАНИЕ
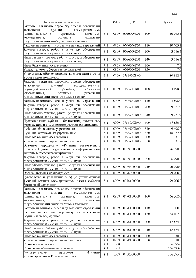
Закон Томской области от 19.07.2016 № 78-ОЗ
"О внесении изменений в Закон Томской области "Об областном бюджете на 2016 год и на плановый период 2017 и 2018 годов"
Номер опубликования: 7000201607220009
Дата опубликования: 22.07.2016
Страница №144 из 259:
Увеличить