Официальное опубликование правовых актов
ОФИЦИАЛЬНОЕ ОПУБЛИКОВАНИЕ
Постановление Администрации Томской области от 14.01.2016 № 6а
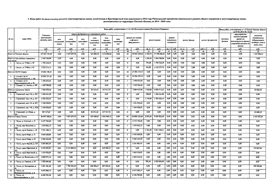
"О завершении реализации Краткосрочного плана реализации в 2014 году Региональной программы капитального ремонта общего имущества в многоквартирных домах, расположенных на территории Томской области, на 2014 – 2043 годы"
Номер опубликования: 7000201601150005
Дата опубликования: 15.01.2016
Страница №5 из 6:
Увеличить