Официальное опубликование правовых актов
ОФИЦИАЛЬНОЕ ОПУБЛИКОВАНИЕ
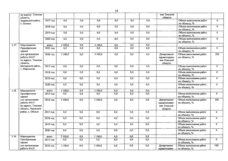
Постановление Администрации Томской области от 09.12.2015 № 448а
"О внесении изменений в постановление Администрации Томской области от 09.12.2014 № 476а"
Номер опубликования: 7000201512140003
Дата опубликования: 14.12.2015
Страница №110 из 154:
Увеличить