Официальное опубликование правовых актов
ОФИЦИАЛЬНОЕ ОПУБЛИКОВАНИЕ
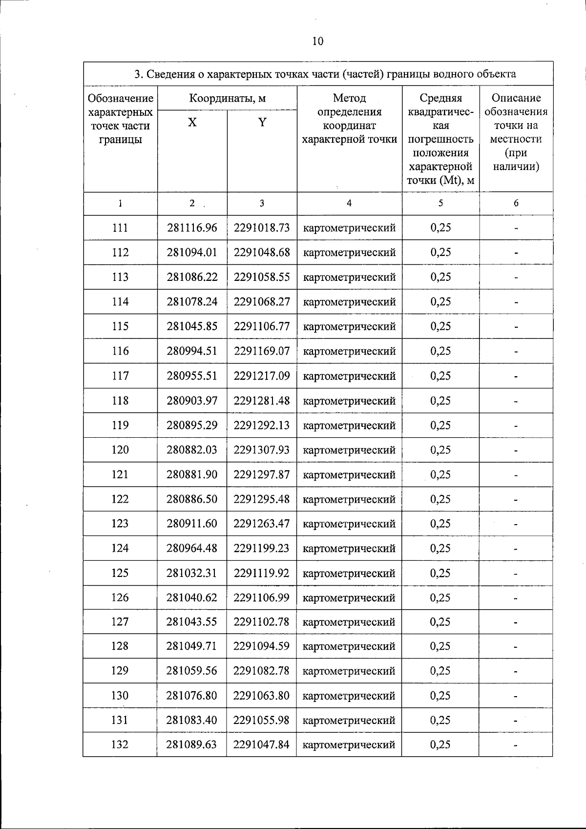
Приказ Министерства природных ресурсов и экологии Тверской области от 13.01.2026 № 1-нп
"Об установлении местоположения части береговой линии"
(Зарегистрирован 14.01.2026 № 0032607)
Номер опубликования: 6901202601150002
Дата опубликования: 15.01.2026
Страница №10 из 19:
Увеличить