Официальное опубликование правовых актов
ОФИЦИАЛЬНОЕ ОПУБЛИКОВАНИЕ
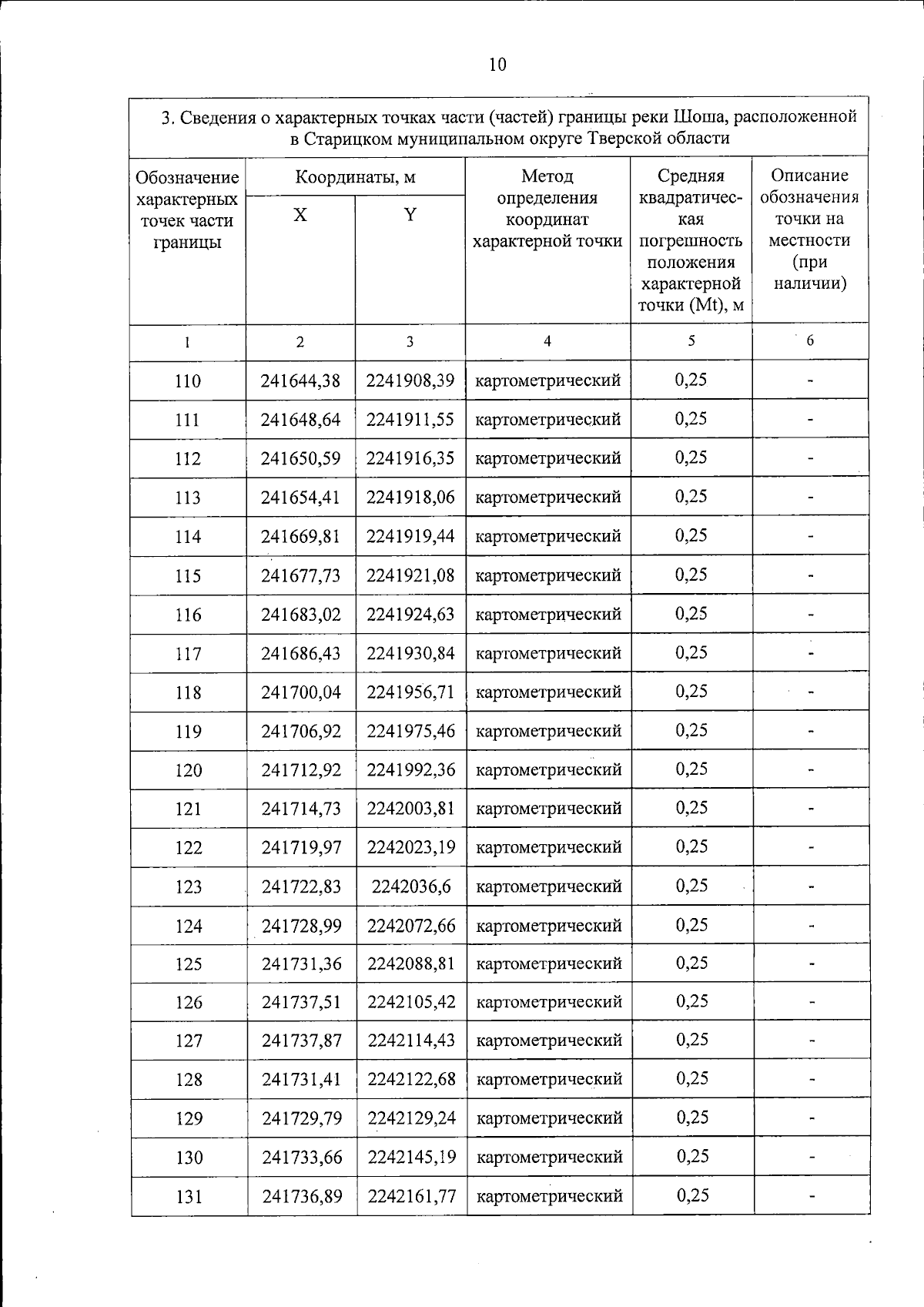
Приказ Министерства природных ресурсов и экологии Тверской области от 13.10.2025 № 33-нп
"Об установлении местоположения части береговой линии"
(Зарегистрирован 15.10.2025 № 3072507)
Номер опубликования: 6901202510160004
Дата опубликования: 16.10.2025
Страница №10 из 14:
Увеличить