Официальное опубликование правовых актов
ОФИЦИАЛЬНОЕ ОПУБЛИКОВАНИЕ
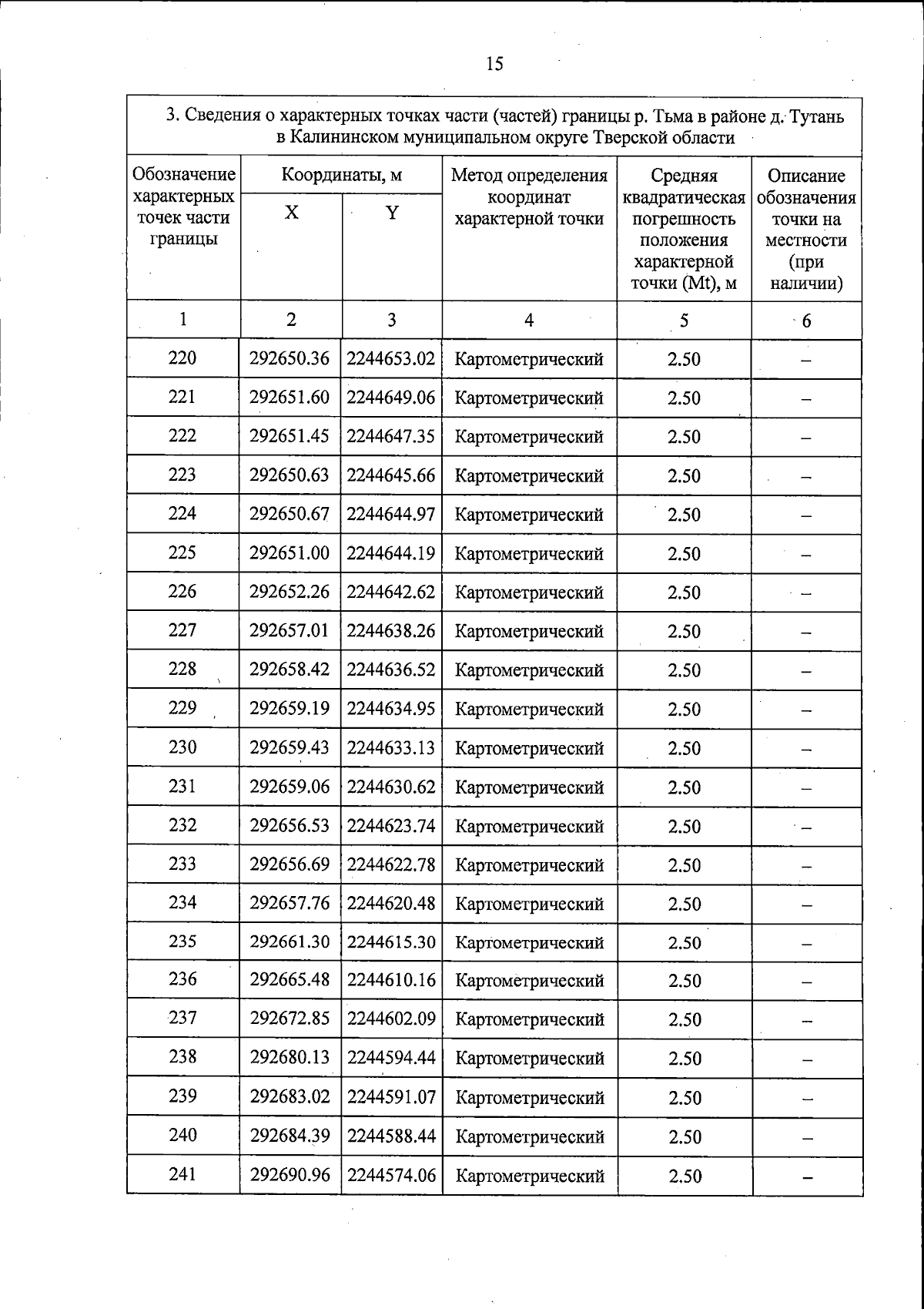
Приказ Министерства природных ресурсов и экологии Тверской области от 11.11.2024 № 12-нп
"Об установлении местоположения части береговой линии"
(Зарегистрирован 12.11.2024 № 3032407)
Номер опубликования: 6901202411130002
Дата опубликования: 13.11.2024
Страница №15 из 32:
Увеличить