Официальное опубликование правовых актов
ОФИЦИАЛЬНОЕ ОПУБЛИКОВАНИЕ
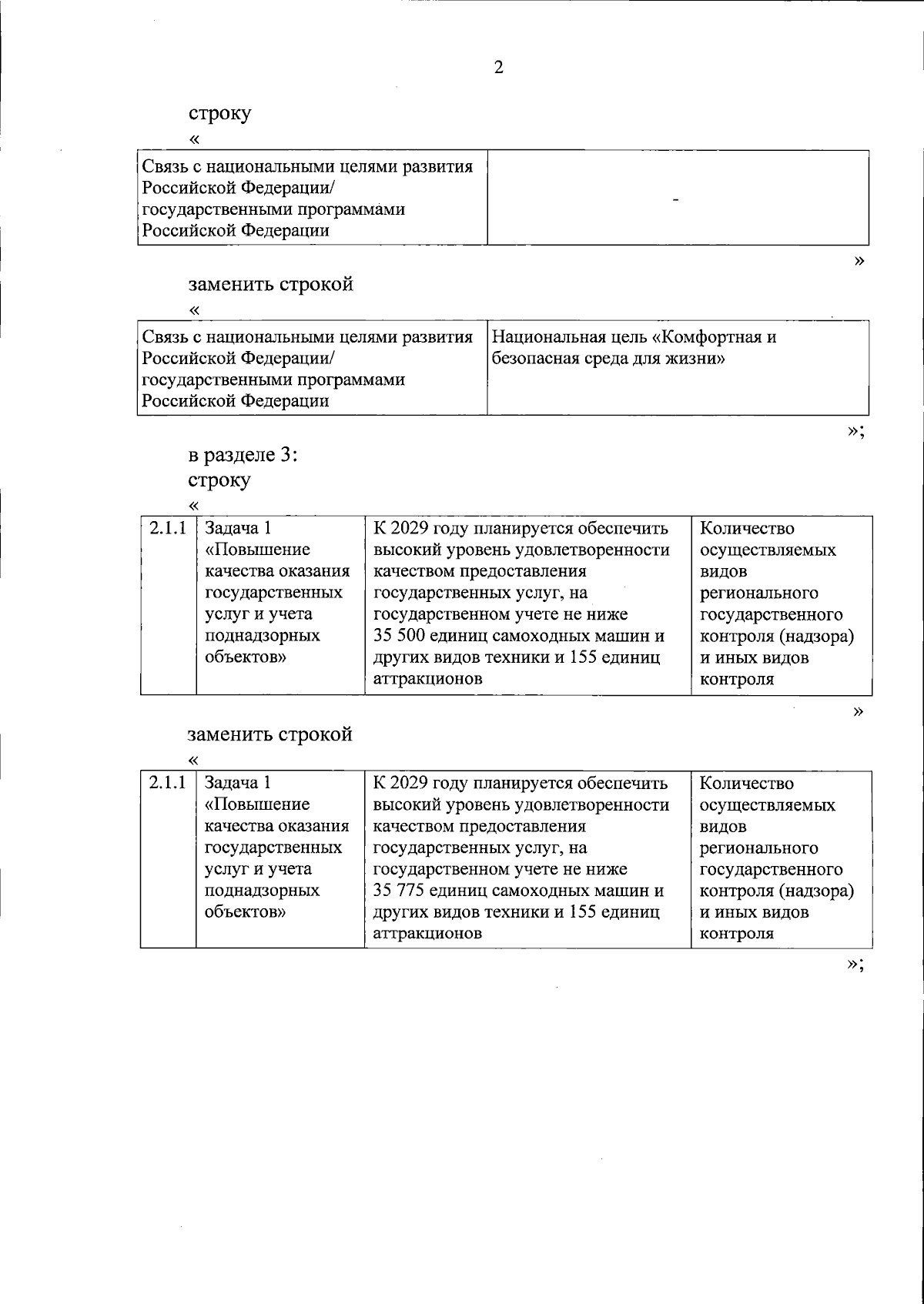
Постановление Правительства Тверской области от 17.04.2026 № 230-пп
"О внесении изменений в постановление Правительства Тверской области от 16.05.2024 № 215-пп"
Номер опубликования: 6900202604200018
Дата опубликования: 20.04.2026
Страница №2 из 26:
Увеличить