Официальное опубликование правовых актов
ОФИЦИАЛЬНОЕ ОПУБЛИКОВАНИЕ
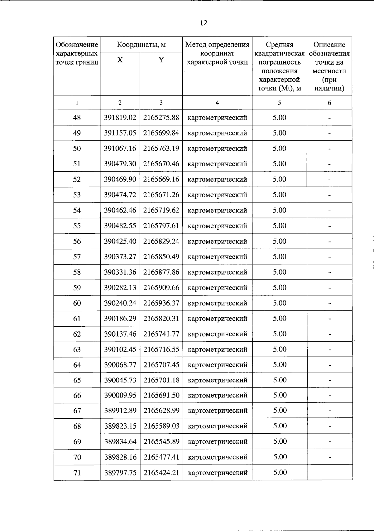
Постановление Правительства Тверской области от 17.04.2026 № 234-пп
"Об особо охраняемой природной территории регионального значения – государственном природном заказнике "Болото Синевское-Хотиловское"
Номер опубликования: 6900202604200015
Дата опубликования: 20.04.2026
Страница №12 из 21:
Увеличить