Официальное опубликование правовых актов
ОФИЦИАЛЬНОЕ ОПУБЛИКОВАНИЕ
Распоряжение Правительства Тверской области от 17.04.2026 № 140-рп
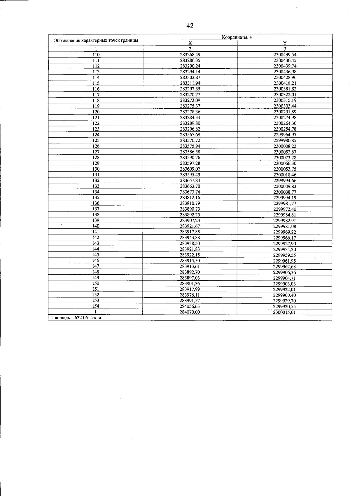
"Об утверждении документации по планировке территории линейного объекта "Строительство ответвлений 2-цепной ВЛ 110 кВ Калининская – Редкино I, II цепи с отпайками с ПС 110 кВ для технологического присоединения энергопринимающих устройств ООО "Энкор Резорт"
Номер опубликования: 6900202604200006
Дата опубликования: 20.04.2026
Страница №42 из 49:
Увеличить