Официальное опубликование правовых актов
ОФИЦИАЛЬНОЕ ОПУБЛИКОВАНИЕ
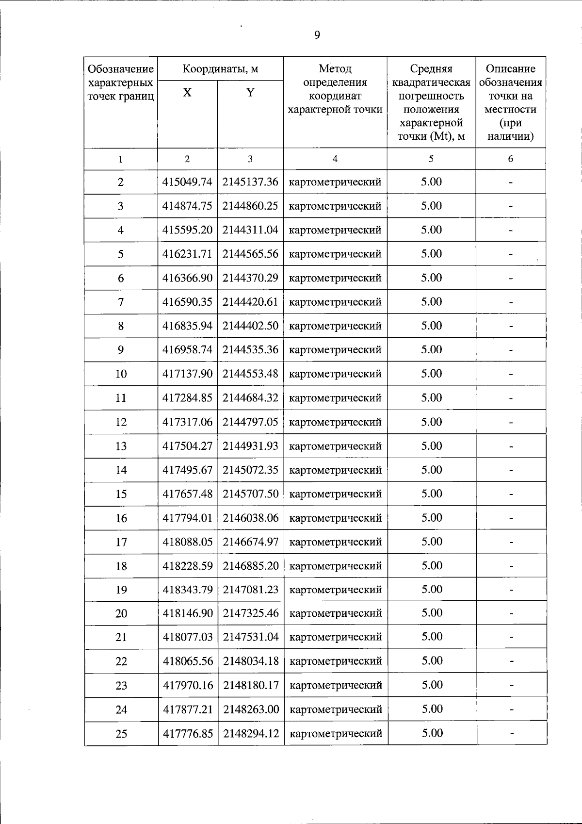
Постановление Правительства Тверской области от 02.04.2026 № 205-пп
"Об особо охраняемой природной территории регионального значения – государственном природном заказнике "Болото Великое"
Номер опубликования: 6900202604030020
Дата опубликования: 03.04.2026
Страница №9 из 12:
Увеличить