Официальное опубликование правовых актов
ОФИЦИАЛЬНОЕ ОПУБЛИКОВАНИЕ
Постановление Губернатора Тверской области от 02.04.2026 № 27-пг
"Об охранной зоне особо охраняемой природной территории регионального значения – памятника природы "Роща березовая Зехновская"
Номер опубликования: 6900202604030004
Дата опубликования: 03.04.2026
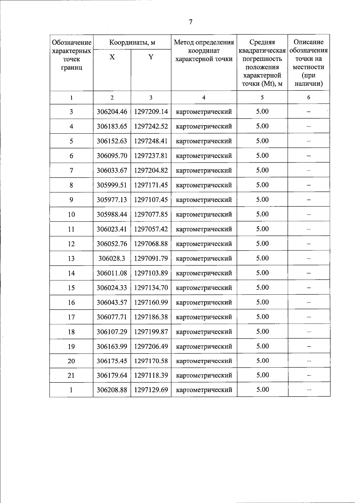
Страница №7 из 9:
Увеличить