Официальное опубликование правовых актов
ОФИЦИАЛЬНОЕ ОПУБЛИКОВАНИЕ
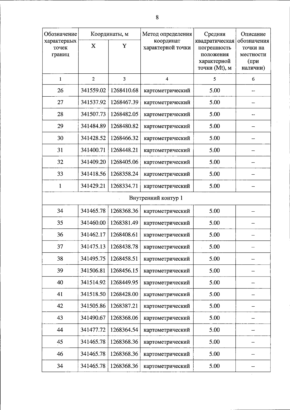
Постановление Губернатора Тверской области от 24.10.2025 № 31-пг
"Об охранной зоне особо охраняемой природной территории регионального значения – памятника природы "Березовое городище"
Номер опубликования: 6900202510270008
Дата опубликования: 27.10.2025
Страница №8 из 10:
Увеличить