Официальное опубликование правовых актов
ОФИЦИАЛЬНОЕ ОПУБЛИКОВАНИЕ
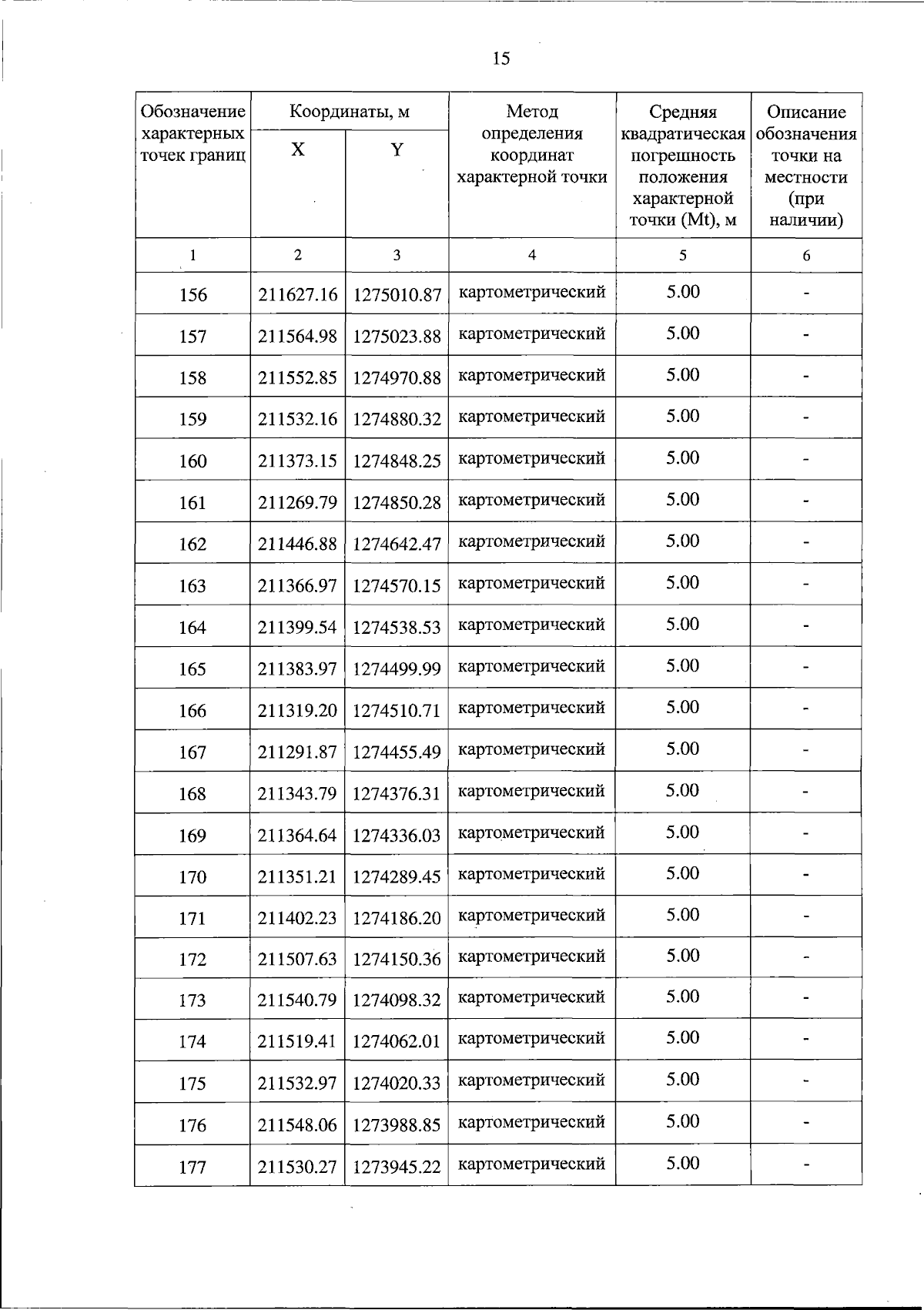
Постановление Правительства Тверской области от 24.10.2025 № 611-пп
"Об утверждении Положения об особо охраняемой природной территории регионального значения – государственном природном заказнике "Болото Осиновский Мох"
Номер опубликования: 6900202510270007
Дата опубликования: 27.10.2025
Страница №15 из 21:
Увеличить