Официальное опубликование правовых актов
ОФИЦИАЛЬНОЕ ОПУБЛИКОВАНИЕ
Постановление Правительства Тверской области от 24.10.2025 № 610-пп
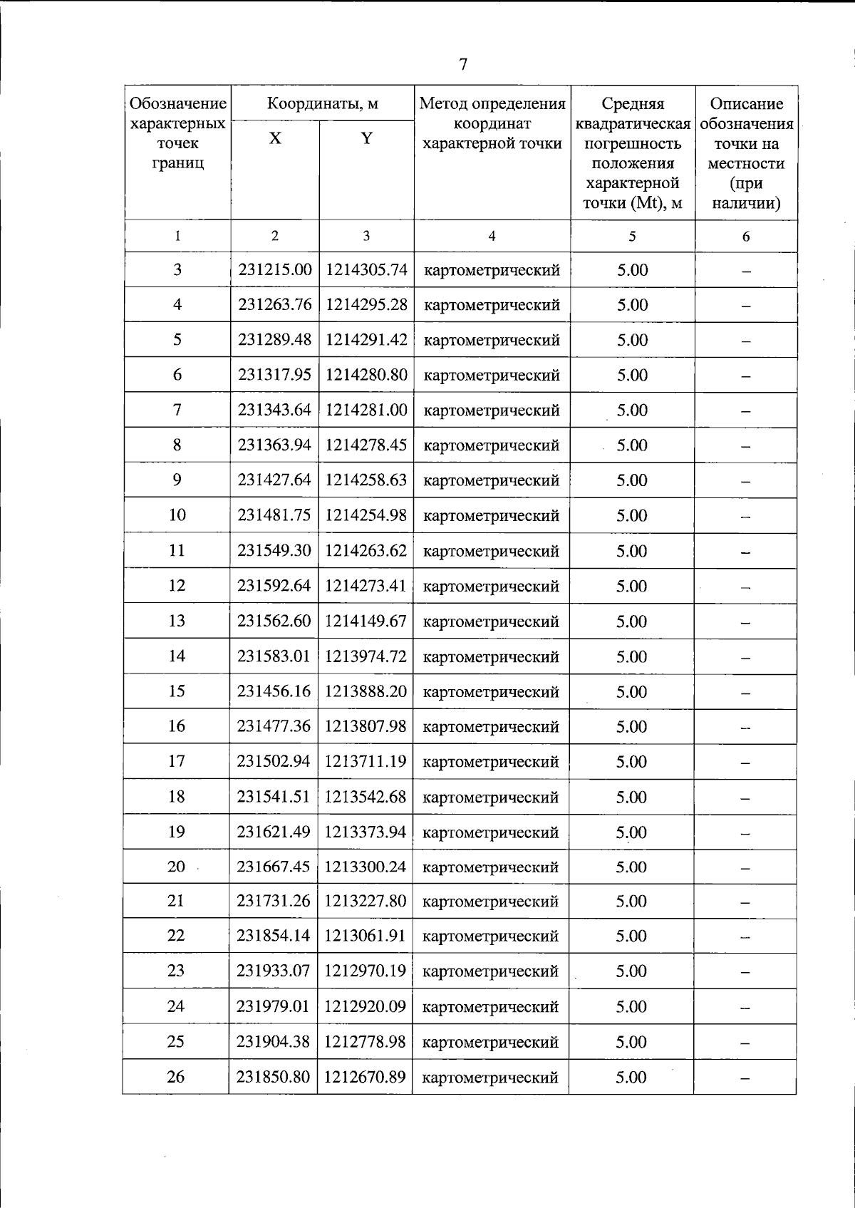
"Об утверждении Паспорта особо охраняемой природной территории регионального значения – памятника природы "Урочище Дубняги"
Номер опубликования: 6900202510270005
Дата опубликования: 27.10.2025
Страница №7 из 10:
Увеличить