Официальное опубликование правовых актов
ОФИЦИАЛЬНОЕ ОПУБЛИКОВАНИЕ
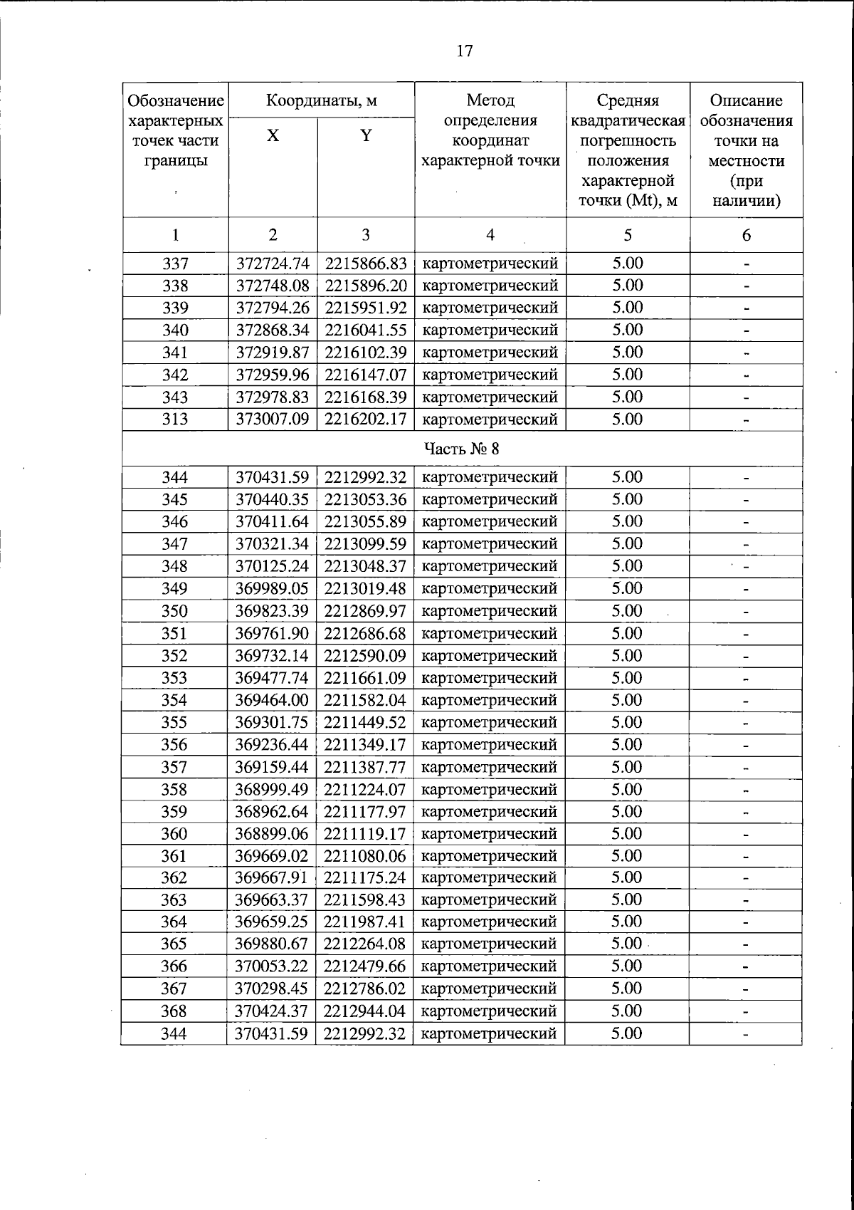
Постановление Правительства Тверской области от 14.10.2025 № 574-пп
"Об особо охраняемой природной территории регионального значения – государственном природном заказнике "Болото Сандилово, включая Луженское, Русскогорное"
Номер опубликования: 6900202510150001
Дата опубликования: 15.10.2025
Страница №17 из 19:
Увеличить