Официальное опубликование правовых актов
ОФИЦИАЛЬНОЕ ОПУБЛИКОВАНИЕ
Постановление Правительства Тверской области от 28.03.2025 № 163-пп
"О внесении изменений в постановление Правительства Тверской области от 07.07.2023 № 282-пп"
Номер опубликования: 6900202503310006
Дата опубликования: 31.03.2025
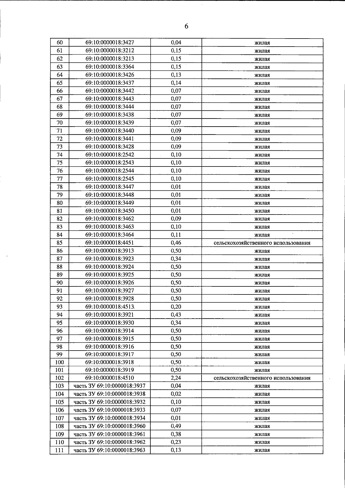
Страница №6 из 14:
Увеличить