Официальное опубликование правовых актов
ОФИЦИАЛЬНОЕ ОПУБЛИКОВАНИЕ
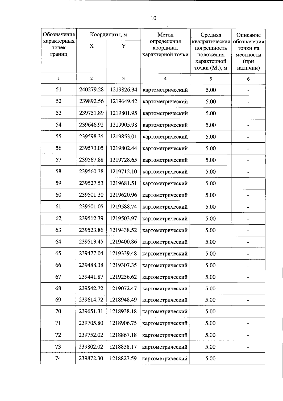
Постановление Правительства Тверской области от 24.01.2025 № 52-пп
"Об утверждении Паспорта особо охраняемой природной территории регионального значения – памятника природы "Грядецкий Бор"
Номер опубликования: 6900202501270004
Дата опубликования: 27.01.2025
Страница №10 из 13:
Увеличить