Официальное опубликование правовых актов
ОФИЦИАЛЬНОЕ ОПУБЛИКОВАНИЕ
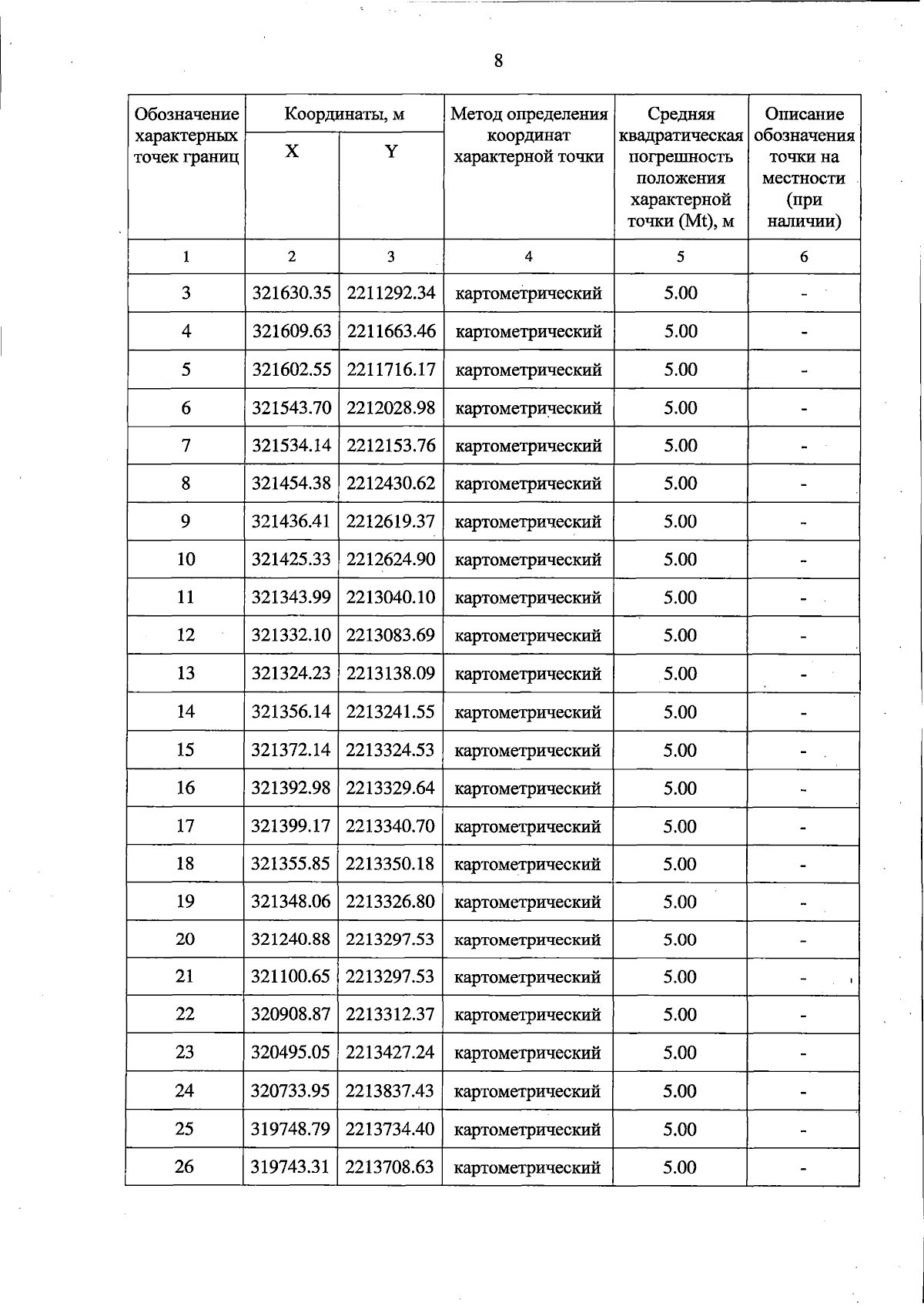
Постановление Правительства Тверской области от 25.12.2024 № 659-пп
"Об особо охраняемой природной территории регионального значения – государственном природном заказнике "Лес у д. Новое Вишенье"
Номер опубликования: 6900202412280025
Дата опубликования: 28.12.2024
Страница №8 из 12:
Увеличить