Официальное опубликование правовых актов
ОФИЦИАЛЬНОЕ ОПУБЛИКОВАНИЕ
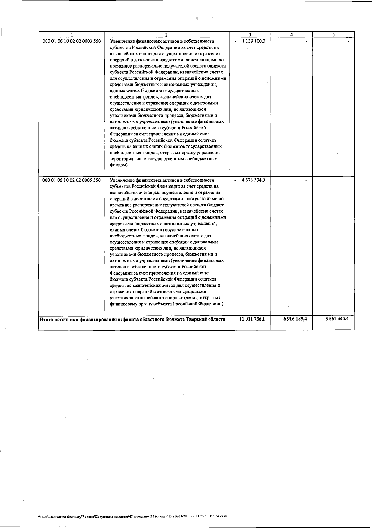
Закон Тверской области от 21.12.2024 № 63-ЗО
"О внесении изменений в закон Тверской области "Об областном бюджете Тверской области на 2024 год и на плановый период 2025 и 2026 годов"
Номер опубликования: 6900202412210010
Дата опубликования: 21.12.2024
Страница №10 из 346:
Увеличить