Официальное опубликование правовых актов
ОФИЦИАЛЬНОЕ ОПУБЛИКОВАНИЕ
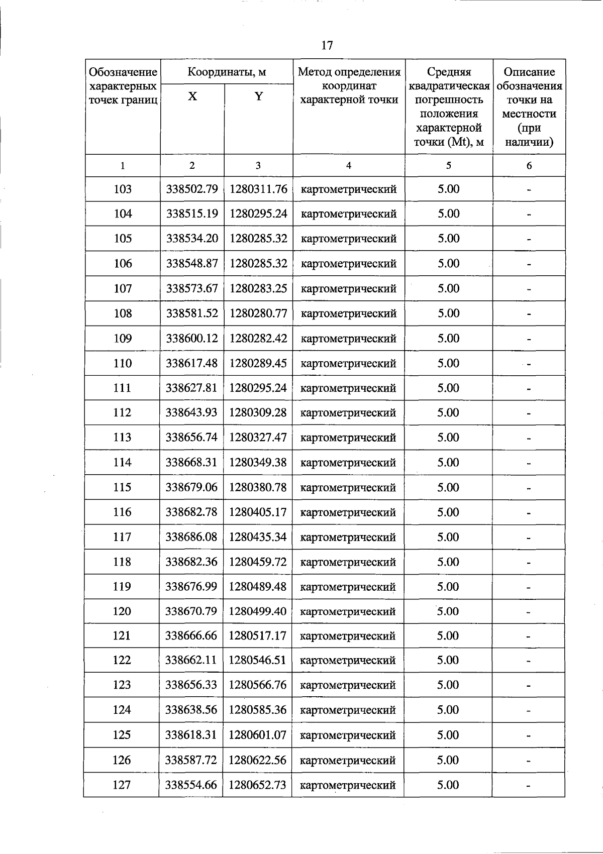
Постановление Правительства Тверской области от 18.12.2024 № 606-пп
"Об особо охраняемой природной территории регионального значения – государственном природном заказнике "Остров Хачин"
Номер опубликования: 6900202412200016
Дата опубликования: 20.12.2024
Страница №17 из 101:
Увеличить