Официальное опубликование правовых актов
ОФИЦИАЛЬНОЕ ОПУБЛИКОВАНИЕ
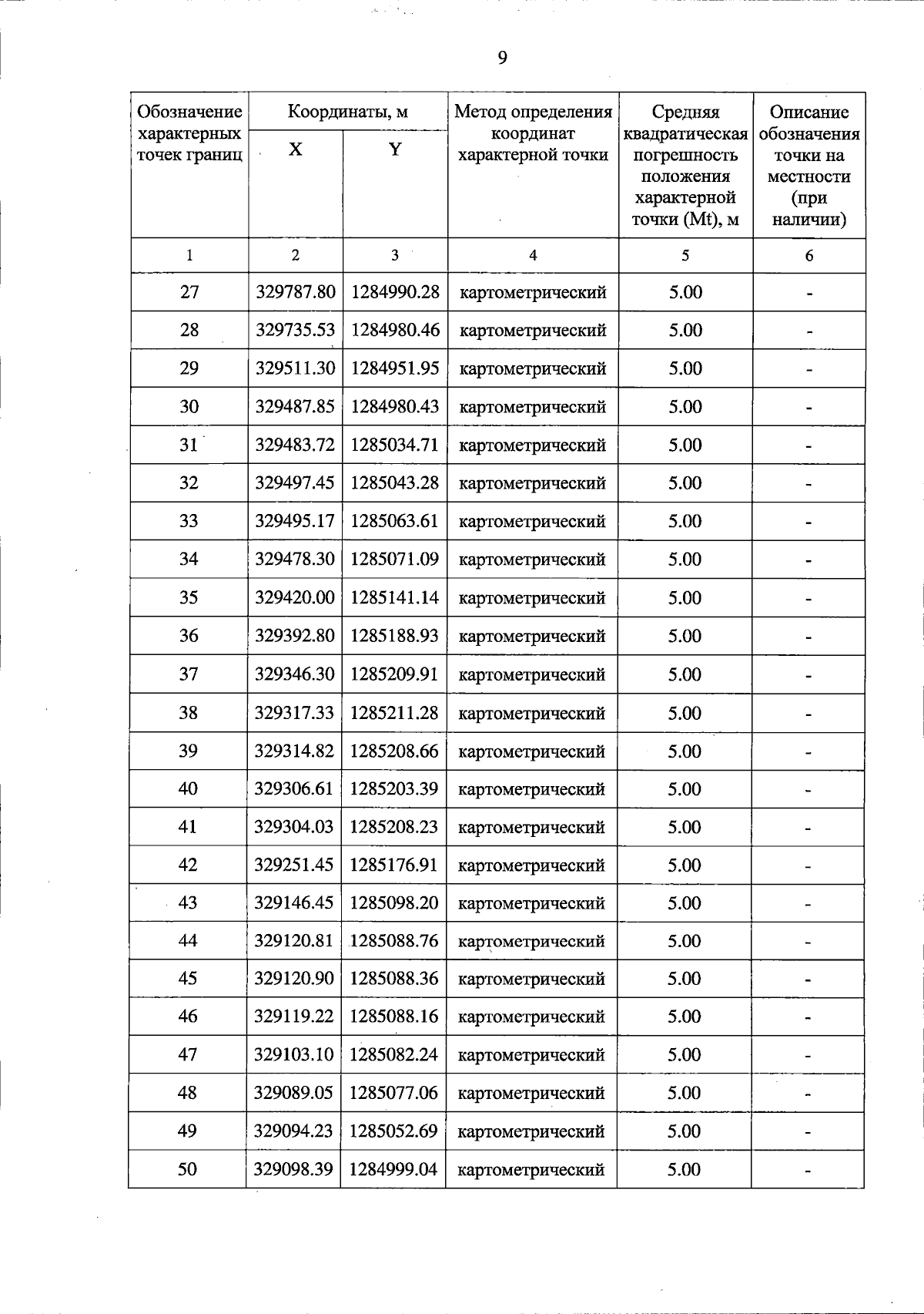
Постановление Правительства Тверской области от 18.12.2024 № 607-пп
"Об утверждении Паспорта особо охраняемой природной территории регионального значения – памятника природы "Леса острова Городомля"
Номер опубликования: 6900202412200015
Дата опубликования: 20.12.2024
Страница №9 из 23:
Увеличить