Официальное опубликование правовых актов
ОФИЦИАЛЬНОЕ ОПУБЛИКОВАНИЕ
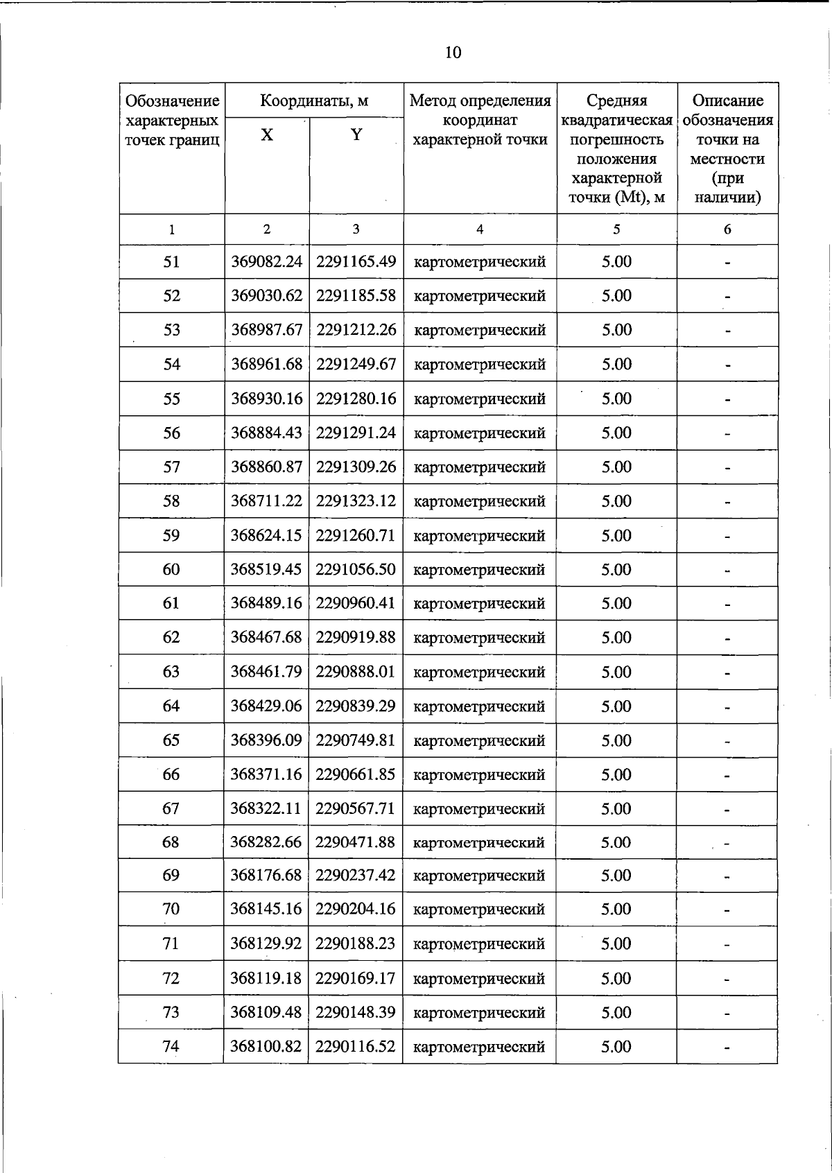
Постановление Правительства Тверской области от 18.12.2024 № 603-пп
"Об особо охраняемой природной территории регионального значения – государственном природном заказнике "Тихвинский"
Номер опубликования: 6900202412200009
Дата опубликования: 20.12.2024
Страница №10 из 13:
Увеличить