Официальное опубликование правовых актов
ОФИЦИАЛЬНОЕ ОПУБЛИКОВАНИЕ
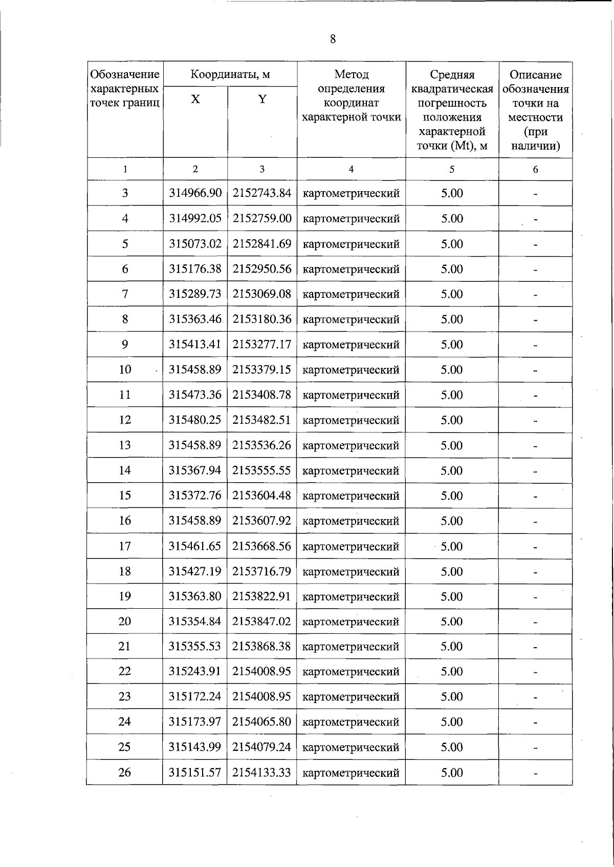
Постановление Правительства Тверской области от 17.12.2024 № 578-пп
"Об особо охраняемой природной территории регионального значения – государственном природном заказнике "Болото Ключевский Мох"
Номер опубликования: 6900202412170003
Дата опубликования: 17.12.2024
Страница №8 из 11:
Увеличить