Официальное опубликование правовых актов
ОФИЦИАЛЬНОЕ ОПУБЛИКОВАНИЕ
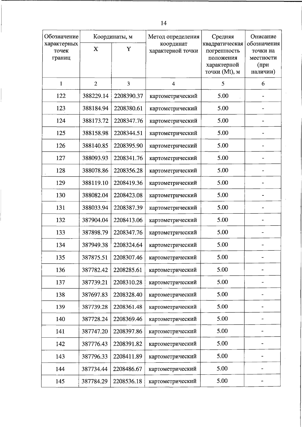
Постановление Правительства Тверской области от 06.12.2024 № 564-пп
"Об особо охраняемой природной территории регионального значения –государственном природном заказнике "Лесные массивы у озера Волково"
Номер опубликования: 6900202412100002
Дата опубликования: 10.12.2024
Страница №14 из 24:
Увеличить