Официальное опубликование правовых актов
ОФИЦИАЛЬНОЕ ОПУБЛИКОВАНИЕ
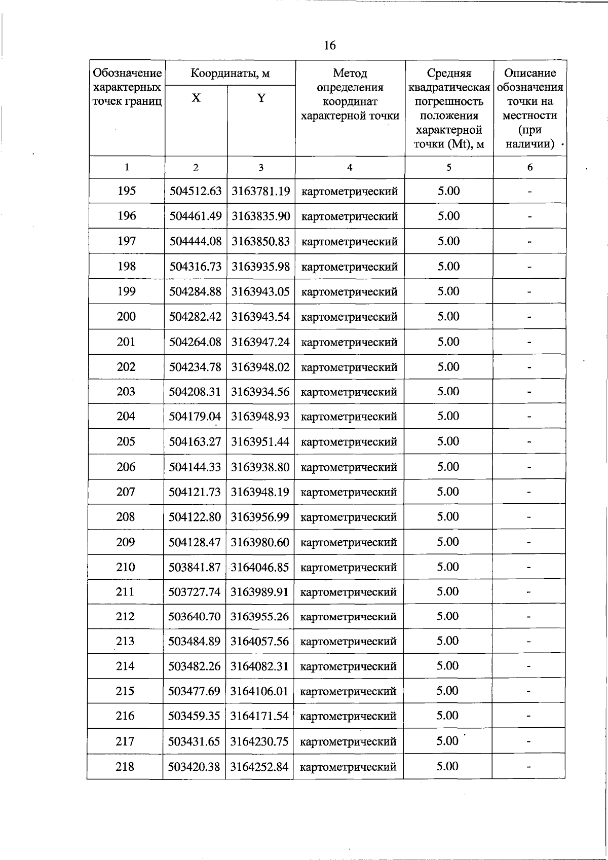
Постановление Правительства Тверской области от 14.10.2024 № 444-пп
"Об особо охраняемой природной территории регионального значения – государственном природном заказнике "Болото Овсяниковское"
Номер опубликования: 6900202410150001
Дата опубликования: 15.10.2024
Страница №16 из 20:
Увеличить