Официальное опубликование правовых актов
ОФИЦИАЛЬНОЕ ОПУБЛИКОВАНИЕ
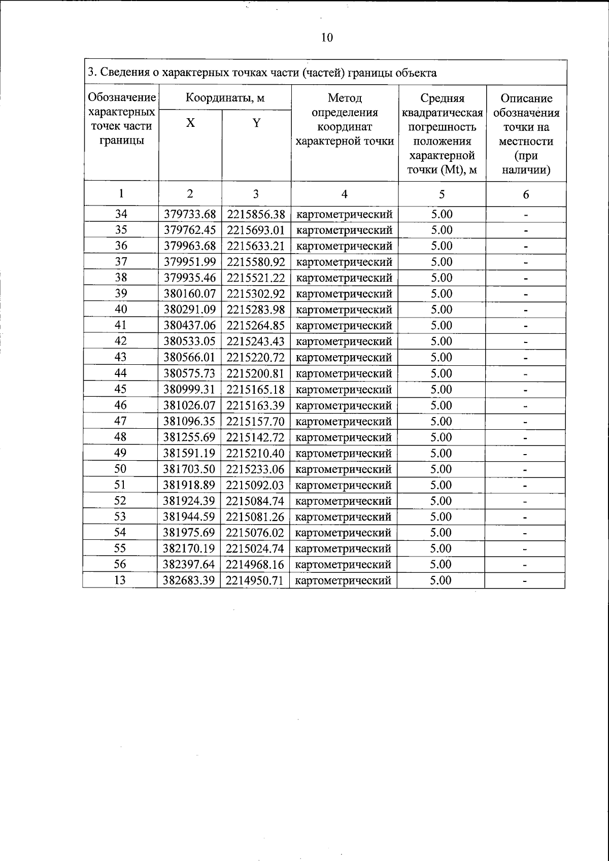
Постановление Правительства Тверской области от 11.07.2024 № 336-пп
"Об особо охраняемой природной территории регионального значения –государственном природном заказнике "Лесные массивы у озера Городно"
Номер опубликования: 6900202407160022
Дата опубликования: 16.07.2024
Страница №10 из 12:
Увеличить