Официальное опубликование правовых актов
ОФИЦИАЛЬНОЕ ОПУБЛИКОВАНИЕ
Постановление Правительства Тверской области от 22.12.2023 № 627-пп
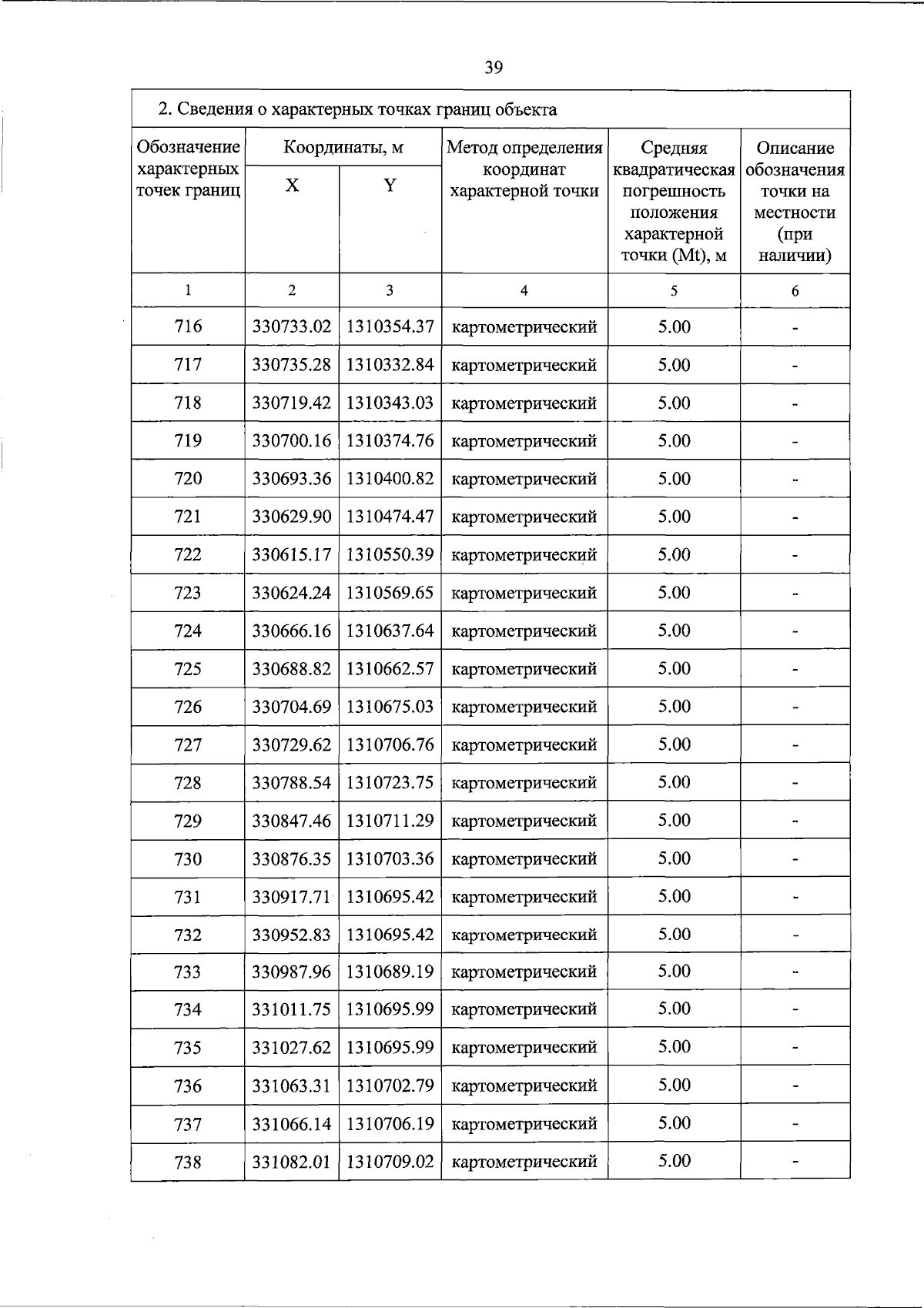
"Об утверждении Положения об особо охраняемой природной территории регионального значения – государственном природном заказнике "Болото Сонка"
Номер опубликования: 6900202312250036
Дата опубликования: 25.12.2023
Страница №39 из 53:
Увеличить