Официальное опубликование правовых актов
ОФИЦИАЛЬНОЕ ОПУБЛИКОВАНИЕ
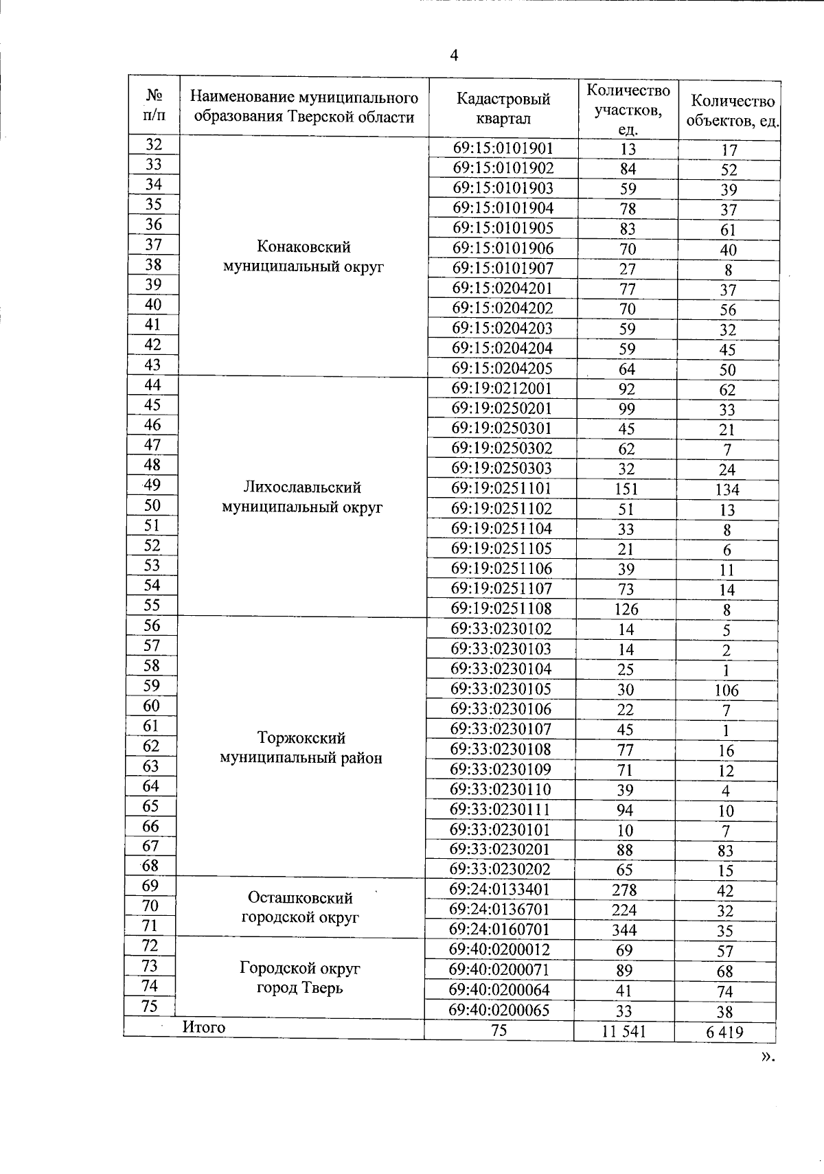
Постановление Правительства Тверской области от 22.12.2023 № 608-пп
"О внесении изменений в постановление Правительства Тверской области от 27.02.2020 № 62-пп"
Номер опубликования: 6900202312250034
Дата опубликования: 25.12.2023
Страница №4 из 8:
Увеличить