Официальное опубликование правовых актов
ОФИЦИАЛЬНОЕ ОПУБЛИКОВАНИЕ
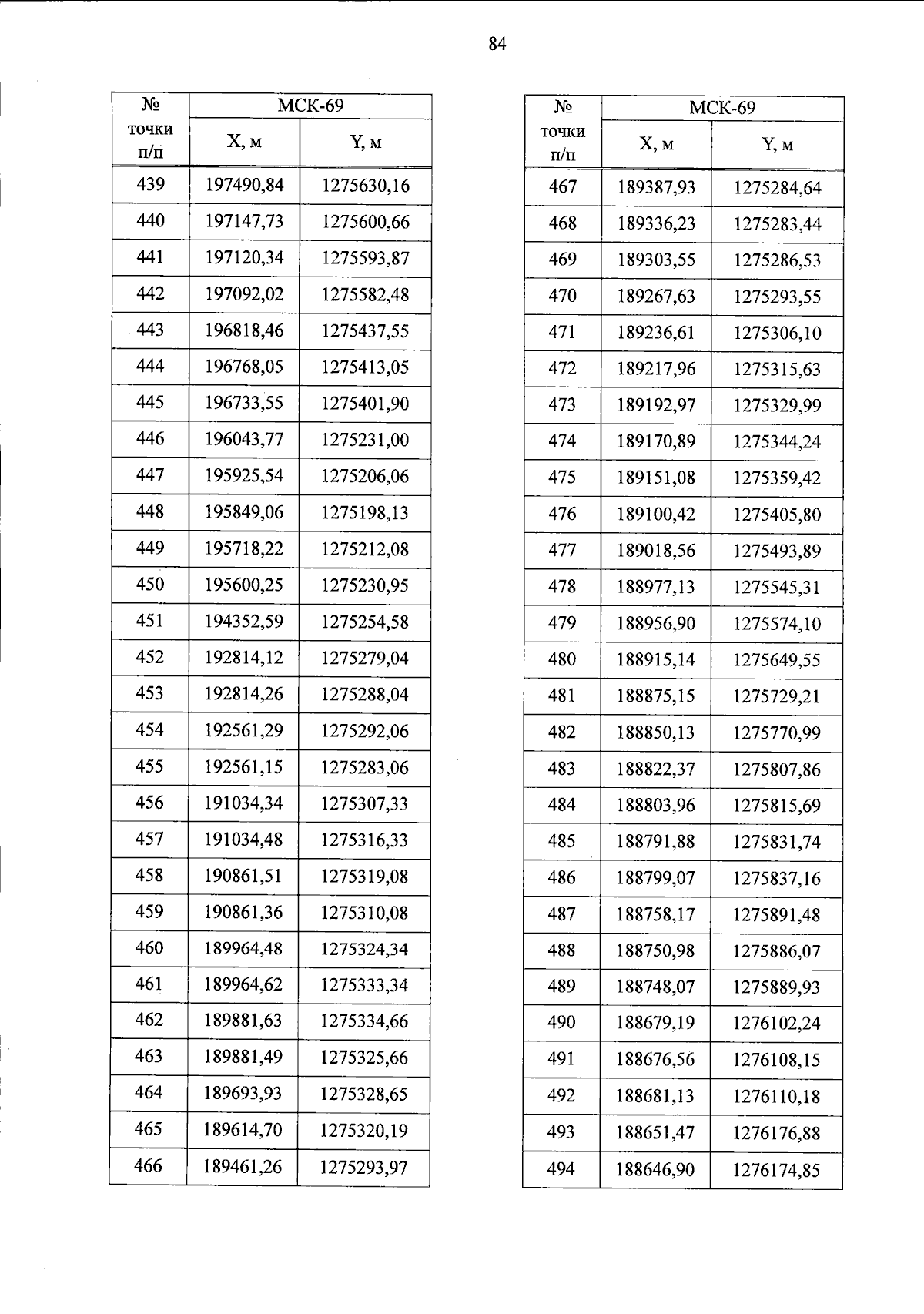
Распоряжение Правительства Тверской области от 21.12.2023 № 1584-рп
"Об утверждении документации по планировке территории линейного объекта "Газопровод межпоселковый г. Нелидово Нелидовского городского округа Тверской области – г. Белый Бельского района Тверской области"
Номер опубликования: 6900202312250023
Дата опубликования: 25.12.2023
Страница №84 из 174:
Увеличить