Официальное опубликование правовых актов
ОФИЦИАЛЬНОЕ ОПУБЛИКОВАНИЕ
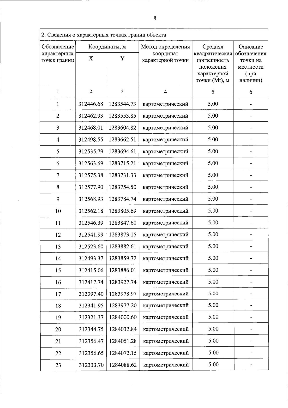
Постановление Правительства Тверской области от 21.12.2023 № 590-пп
"Об утверждении Паспорта особо охраняемой природной территории регионального значения – памятника природы "Нехинская дубово-ясеневая роща"
Номер опубликования: 6900202312250020
Дата опубликования: 25.12.2023
Страница №8 из 12:
Увеличить