Официальное опубликование правовых актов
ОФИЦИАЛЬНОЕ ОПУБЛИКОВАНИЕ
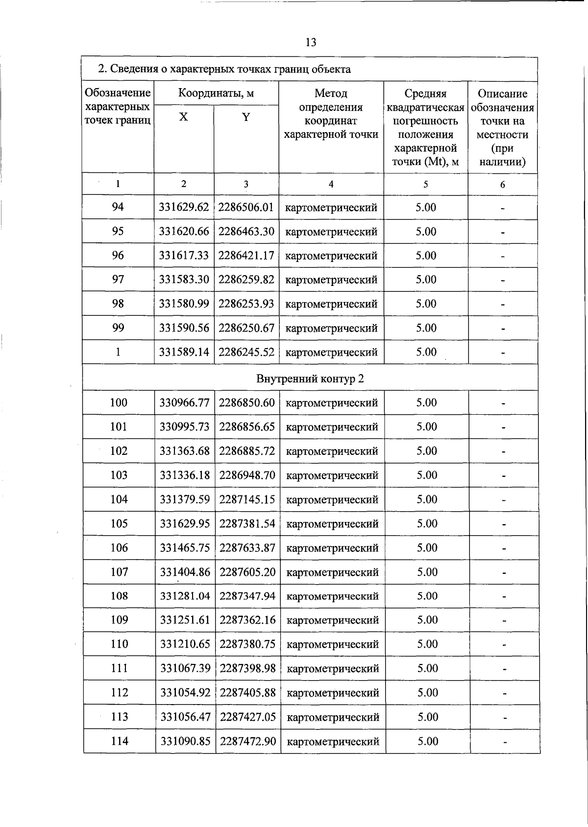
Постановление Правительства Тверской области от 07.12.2023 № 557-пп
"Об утверждении Положения об особо охраняемой природной территории регионального значения – государственном природном заказнике "Бор Застолбский"
Номер опубликования: 6900202312080004
Дата опубликования: 08.12.2023
Страница №13 из 17:
Увеличить