Официальное опубликование правовых актов
ОФИЦИАЛЬНОЕ ОПУБЛИКОВАНИЕ
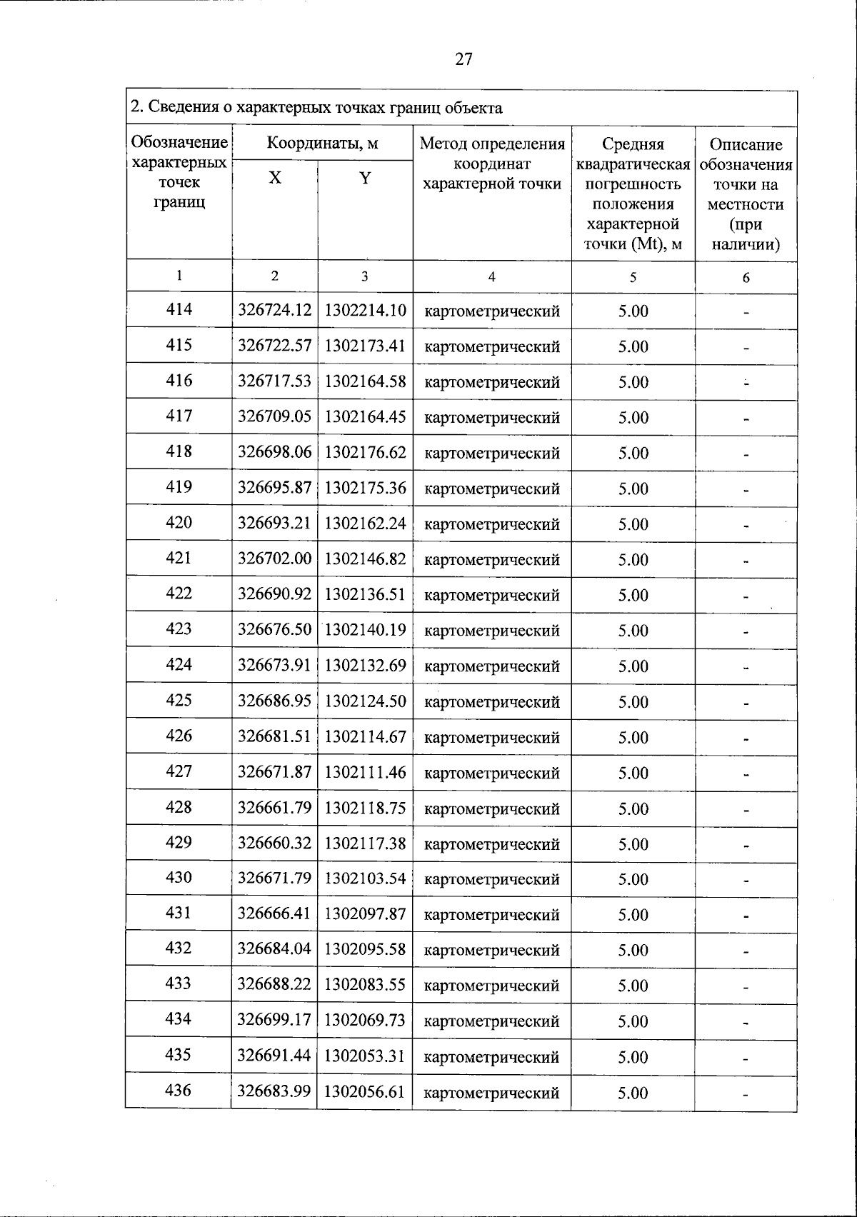
Постановление Правительства Тверской области от 20.10.2023 № 437-пп
"Об утверждении Положения об особо охраняемой природной территории регионального значения – государственном природном заказнике "Болото Крутецкий Мох и Чистик"
Номер опубликования: 6900202310240007
Дата опубликования: 24.10.2023
Страница №27 из 33:
Увеличить