Официальное опубликование правовых актов
ОФИЦИАЛЬНОЕ ОПУБЛИКОВАНИЕ
Распоряжение Правительства Тверской области от 25.08.2023 № 1021-рп
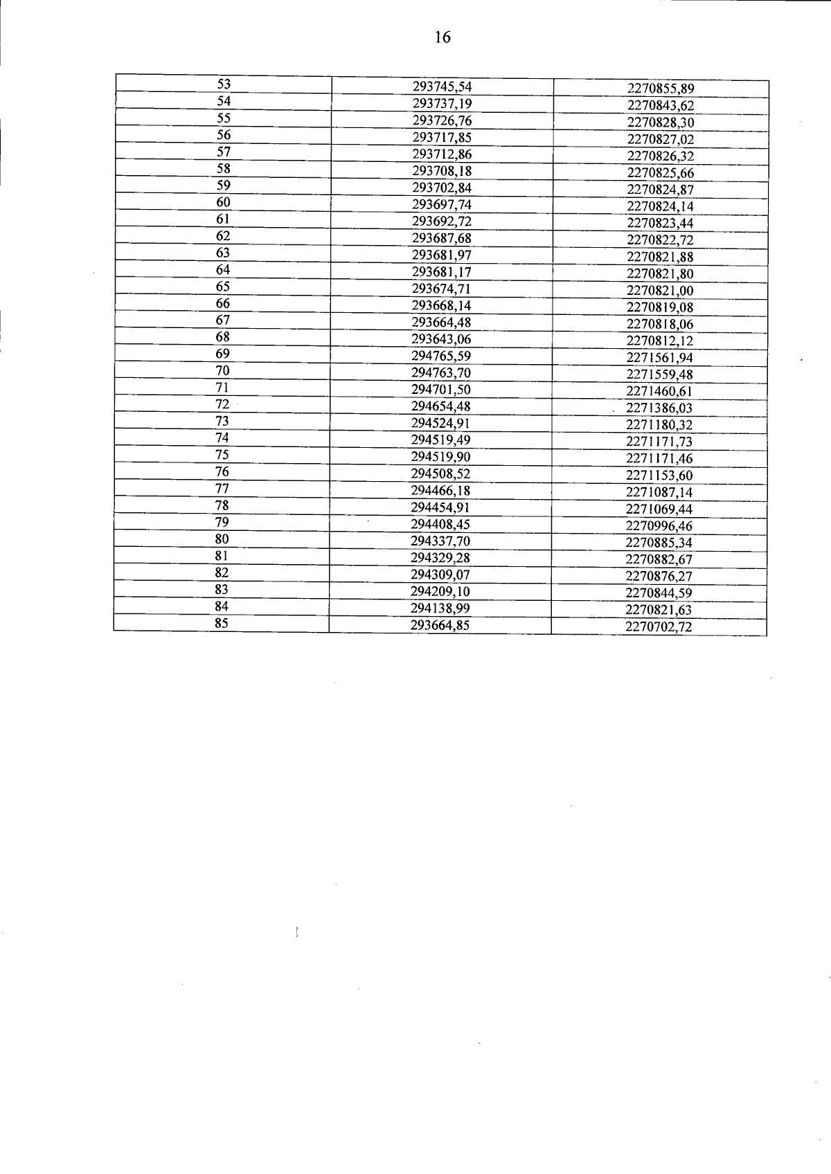
"Об утверждении документации по планировке территории линейного объекта "Строительство автомобильной дороги с путепроводом через Октябрьскую железную дорогу от Петербургского шоссе до улицы Паши Савельевой в створе улицы Фрунзе в городе Твери"
Номер опубликования: 6900202308280016
Дата опубликования: 28.08.2023
Страница №16 из 29:
Увеличить