Официальное опубликование правовых актов
ОФИЦИАЛЬНОЕ ОПУБЛИКОВАНИЕ
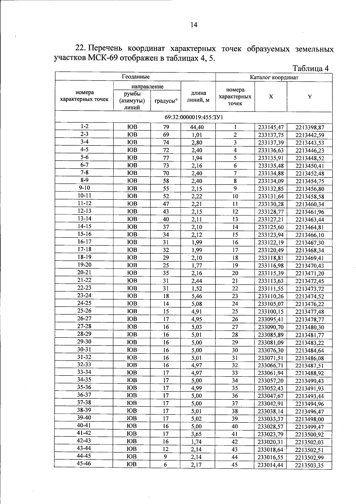
Распоряжение Правительства Тверской области от 22.08.2023 № 1006-рп
"Об утверждении документации по планировке территории в районе д. Данилова Слобода Старицкого муниципального округа Тверской области с целью строительства автомобильной дороги в рамках реализации проекта "Спасское Волгоречье"
Номер опубликования: 6900202308280013
Дата опубликования: 28.08.2023
Страница №14 из 28:
Увеличить