Официальное опубликование правовых актов
ОФИЦИАЛЬНОЕ ОПУБЛИКОВАНИЕ
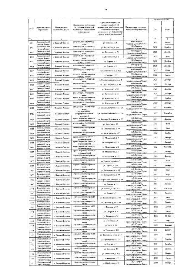
Постановление Губернатора Тверской области от 27.12.2022 № 95-пг
"О внесении изменений в постановление Губернатора Тверской области от 13.02.2020 № 10-пг"
Номер опубликования: 6900202212280022
Дата опубликования: 28.12.2022
Страница №198 из 506:
Увеличить