Официальное опубликование правовых актов
ОФИЦИАЛЬНОЕ ОПУБЛИКОВАНИЕ
Распоряжение Правительства Тверской области от 08.12.2022 № 1388-рп
"Об утверждении документации по планировке территории линейного объекта "Реконструкция автомобильной дороги общего пользования межмуниципального значения Большое Эскино – Трестино – Жданово в Фировском районе и Осташковском городском округе Тверской области (на участке км 9+300 – км 49+900)" 1 этап с км 9+300 по км 17+424"
Номер опубликования: 6900202212090019
Дата опубликования: 09.12.2022
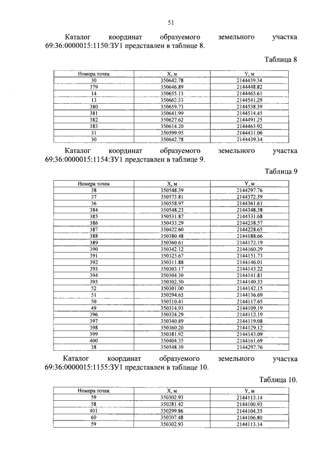
Страница №51 из 85:
Увеличить