Официальное опубликование правовых актов
ОФИЦИАЛЬНОЕ ОПУБЛИКОВАНИЕ
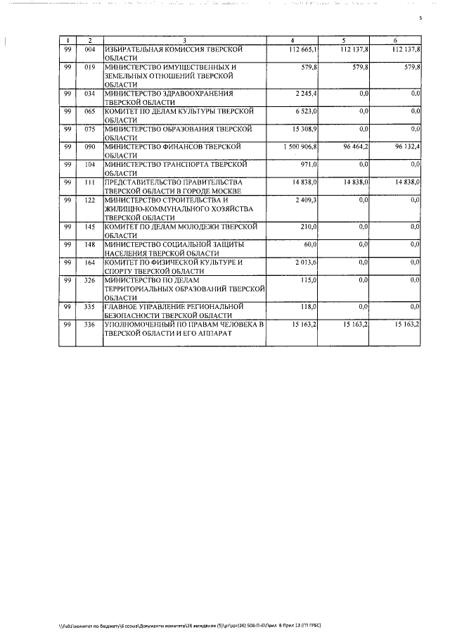
Закон Тверской области от 13.06.2018 № 23-ЗО
"О внесении изменений в закон Тверской области "Об областном бюджете Тверской области на 2018 год и на плановый период 2019 и 2020 годов"
Номер опубликования: 6900201806130001
Дата опубликования: 13.06.2018
Страница №322 из 515:
Увеличить