Официальное опубликование правовых актов
ОФИЦИАЛЬНОЕ ОПУБЛИКОВАНИЕ
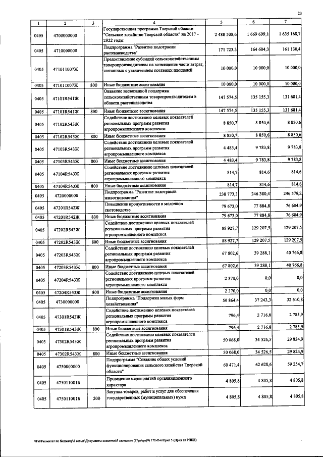
Закон Тверской области от 23.02.2017 № 4-ЗО
"О внесении изменений в закон Тверской области "Об областном бюджете Тверской области на 2017 год и на плановый период 2018 и 2019 годов"
Номер опубликования: 6900201702270001
Дата опубликования: 27.02.2017
Страница №134 из 309:
Увеличить