Официальное опубликование правовых актов
ОФИЦИАЛЬНОЕ ОПУБЛИКОВАНИЕ
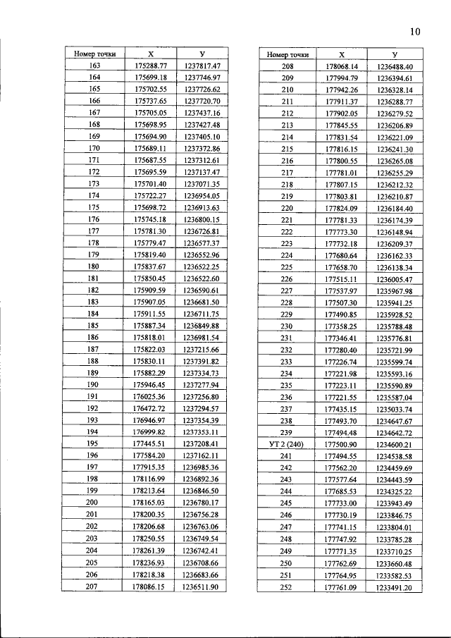
Закон Тверской области от 29.12.2016 № 92-ЗО
"О внесении изменений в закон Тверской области "Об установлении границ муниципальных образований, входящих в состав территории муниципального образования Тверской области "Жарковский район", и наделении их статусом городского, сельского поселения"
Номер опубликования: 6900201612300043
Дата опубликования: 30.12.2016
Страница №13 из 182:
Увеличить