Официальное опубликование правовых актов
ОФИЦИАЛЬНОЕ ОПУБЛИКОВАНИЕ
Приказ Министерства имущественных отношений и государственного заказа Тамбовской области от 20.02.2026 № 66
"О внесении изменений в приказ министерства имущественных отношений и государственного заказа Тамбовской области от 26.03.2024 № 177 "Об изменении охранной зоны сети газораспределения и наложении ограничений (обременений) на входящие в нее земельные участки"
(Зарегистрирован 20.02.2026 № 66)
Номер опубликования: 6801202602250003
Дата опубликования: 25.02.2026
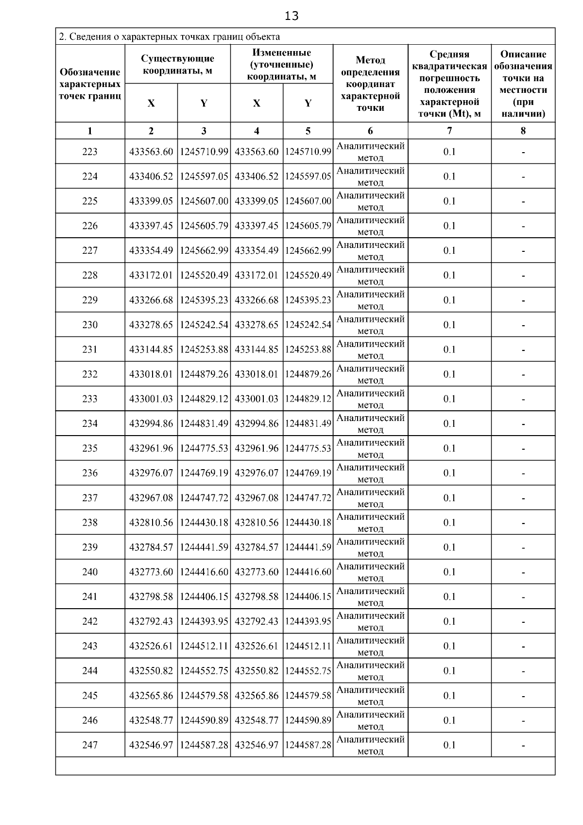
Страница №15 из 27:
Увеличить