Официальное опубликование правовых актов
ОФИЦИАЛЬНОЕ ОПУБЛИКОВАНИЕ
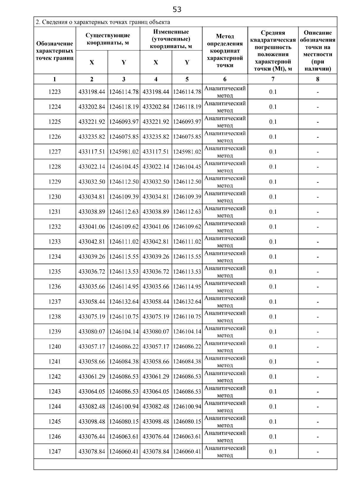
Приказ Министерства имущественных отношений и государственного заказа Тамбовской области от 11.02.2026 № 53
"О внесении изменений в приложение к приказу комитета по управлению имуществом Тамбовской области от 08.10.2021 № 706 "Об изменении охранной зоны сети газораспределения и наложении ограничений (обременений) на входящие в нее земельные участки"
(Зарегистрирован 11.02.2026 № 53)
Номер опубликования: 6801202602170004
Дата опубликования: 17.02.2026
Страница №55 из 259:
Увеличить