Официальное опубликование правовых актов
ОФИЦИАЛЬНОЕ ОПУБЛИКОВАНИЕ
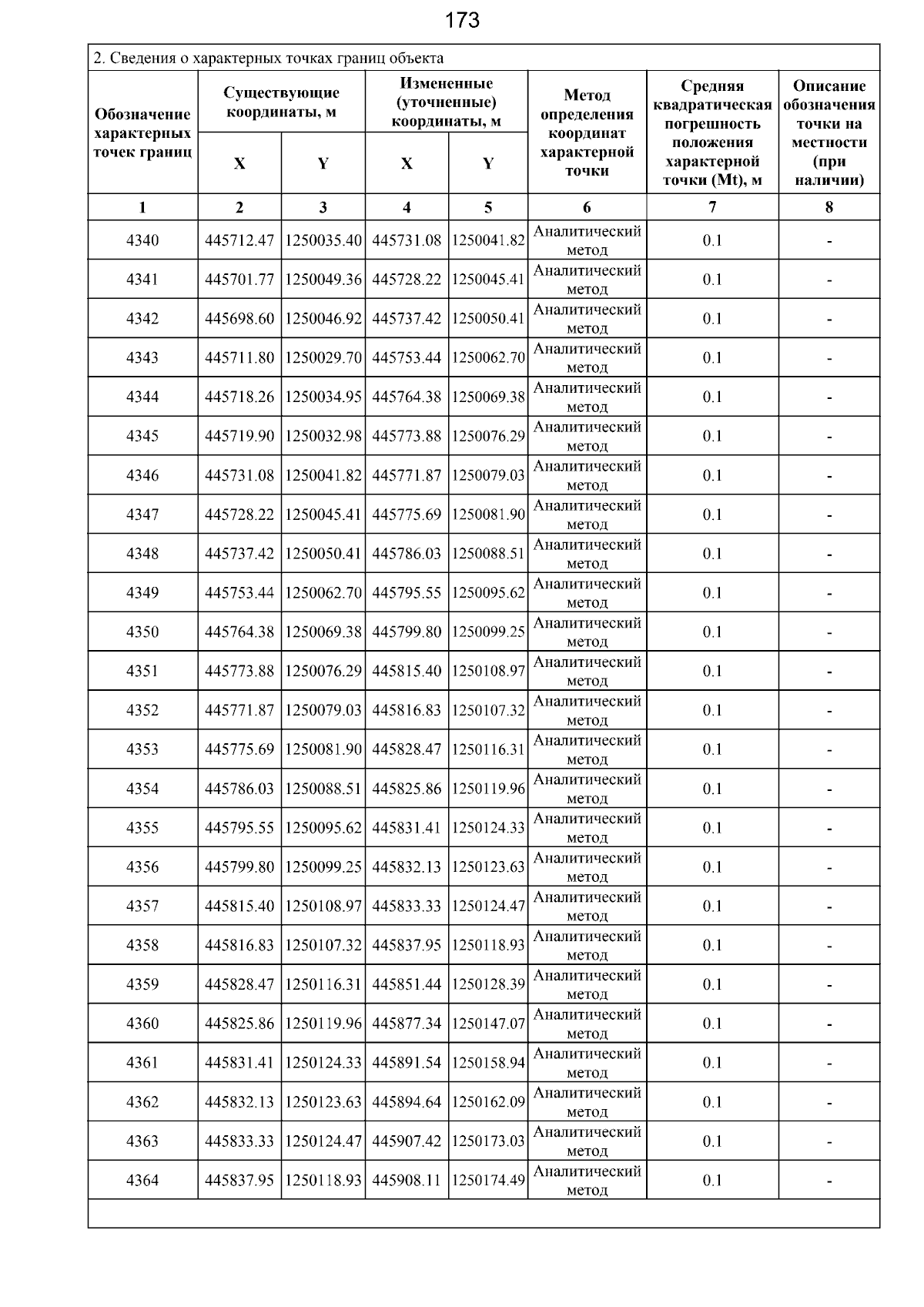
Приказ Министерства имущественных отношений и государственного заказа Тамбовской области от 18.12.2025 № 948
"О внесении изменений в приложение к приказу комитета по управлению имуществом Тамбовской области от 06.12.2021 № 821 "Об изменении охранной зоны газораспределительной сети и наложении ограничений (обременений) на входящие в нее земельные участки"
(Зарегистрирован 18.12.2025 № 948)
Номер опубликования: 6801202512220060
Дата опубликования: 22.12.2025
Страница №175 из 197:
Увеличить