Официальное опубликование правовых актов
ОФИЦИАЛЬНОЕ ОПУБЛИКОВАНИЕ
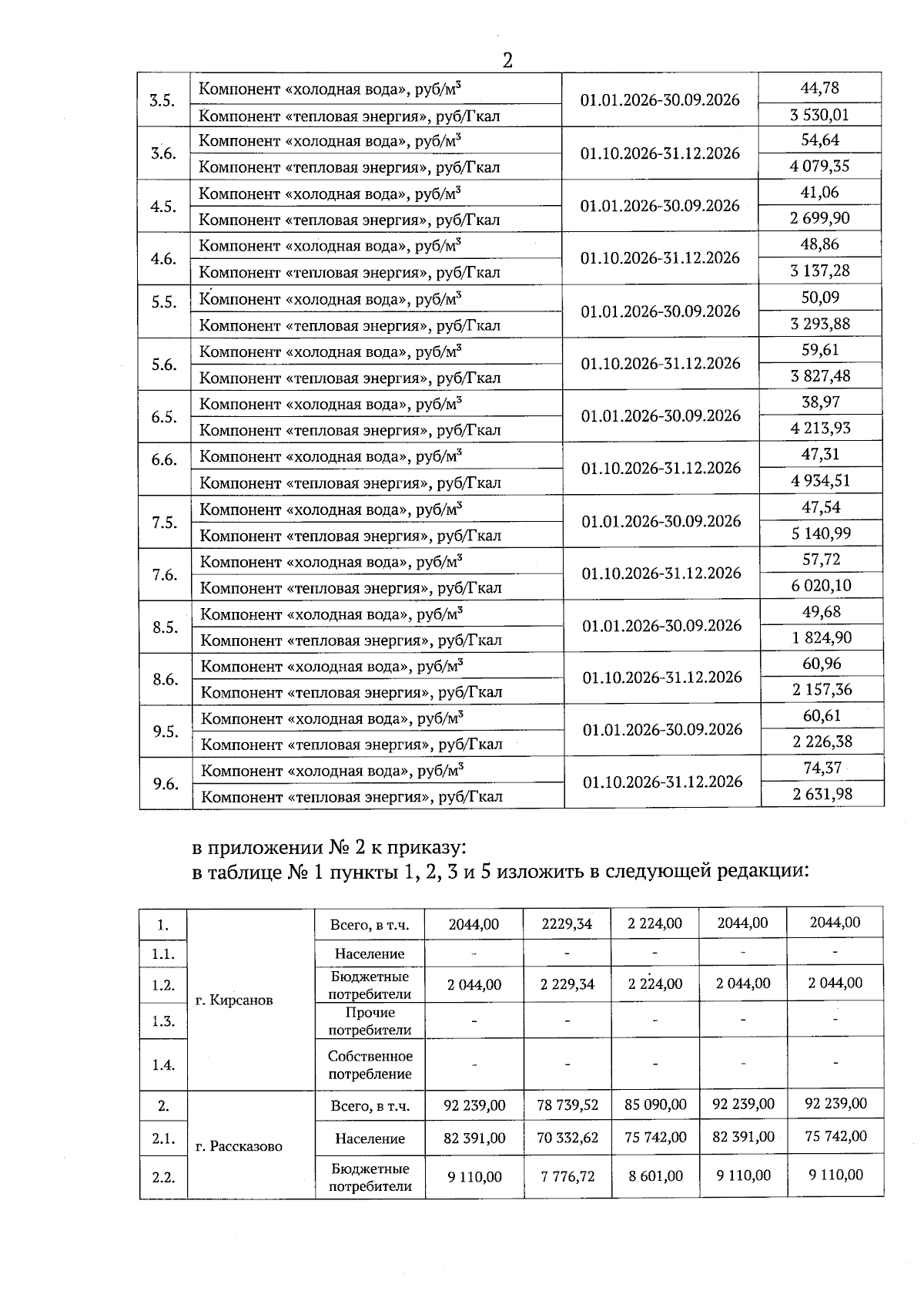
Приказ Департамента цен и тарифов Тамбовской области от 18.12.2025 № 156-т
"О внесении изменений в приказ департамента цен и тарифов Тамбовской области от 13.12.2023 № 150-т "Об установлении тарифов на горячую воду, поставляемую акционерным обществом "Тамбовская сетевая компания" потребителям Тамбовской области, на 2024-2028 гг."
(Зарегистрирован 18.12.2025 № 156-т)
Номер опубликования: 6801202512220049
Дата опубликования: 22.12.2025
Страница №2 из 3:
Увеличить