Приказ Департамента по государственной охране объектов культурного наследия Тамбовской области от 11.12.2025 № 390
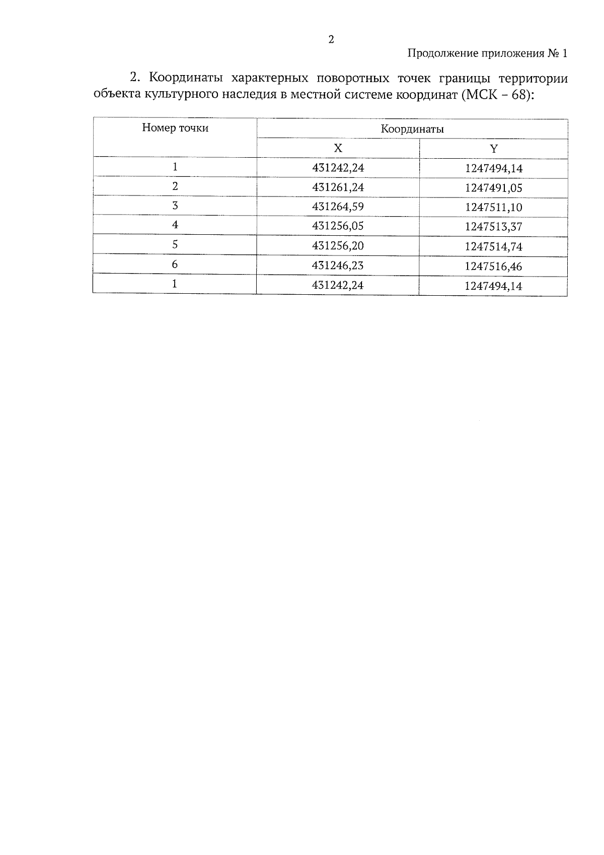
"О включении выявленного объекта культурного наследия "Дом жилой" (Тамбовская область, г. Тамбов, ул. Октябрьская, д. 33) в единый государственный реестр объектов культурного наследия (памятников истории и культуры) народов Российской Федерации в качестве объекта культурного наследия регионального значения, утверждении границ территории объекта культурного наследия и режима ее использования"
(Зарегистрирован 11.12.2025 № 390)
"О включении выявленного объекта культурного наследия "Дом жилой" (Тамбовская область, г. Тамбов, ул. Октябрьская, д. 33) в единый государственный реестр объектов культурного наследия (памятников истории и культуры) народов Российской Федерации в качестве объекта культурного наследия регионального значения, утверждении границ территории объекта культурного наследия и режима ее использования"
(Зарегистрирован 11.12.2025 № 390)
Номер опубликования: 6801202512120005
Дата опубликования:
12.12.2025
