Официальное опубликование правовых актов
ОФИЦИАЛЬНОЕ ОПУБЛИКОВАНИЕ
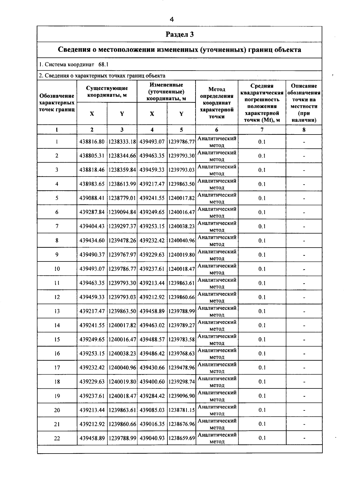
Приказ Министерства имущественных отношений и государственного заказа Тамбовской области от 16.10.2025 № 765
"О внесении изменений в приказ комитета по управлению имуществом Тамбовской области от 31.05.2021 № 344 "Об установлении охранных зон газопроводов и наложении ограничений (обременений) на входящие в них земельные участки"
(Зарегистрирован 16.10.2025 № 765)
Номер опубликования: 6801202510210004
Дата опубликования: 21.10.2025
Страница №6 из 8:
Увеличить