Официальное опубликование правовых актов
ОФИЦИАЛЬНОЕ ОПУБЛИКОВАНИЕ
Приказ Министерства имущественных отношений и государственного заказа Тамбовской области от 08.10.2025 № 743
"Об изменении охранной зоны газопровода и наложении ограничений (обременений) на входящие в нее земельные участки"
(Зарегистрирован 08.10.2025 № 743)
Номер опубликования: 6801202510140012
Дата опубликования: 14.10.2025
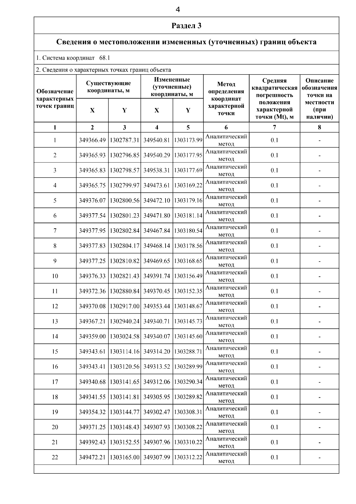
Страница №6 из 13:
Увеличить